近日,经管学院朱磊教授与合作者在《Cell》子刊《iScience》上发表最新论文,研究成果题目为“剖析天然气价格传导对北欧国家电价的影响(Unpacking the effects of natural gas price transmission on electricity prices in Nordic countries)”。我校经管学院朱磊教授、博士生张丽忠及刘俊岐为共同第一作者,欧洲科学与艺术学院院士、香港理工大学严晋跃教授为通讯作者。

论文指出了一个在电力市场中未出现过的现象,即欧洲国家从化石能源向可再生能源的能源转型中,随着风光等可再生能源比例的逐渐提高,风能和太阳能发电厂商开始逐渐发挥其市场势力,进而影响电力价格。为了细致分析这种在电力市场中未出现过的现象,论文首先实证研究了自2022年2月俄乌战争以来,欧洲大陆天然气价格与北欧国家电价之间的关系,结果显示,尽管天然气发电的比例较低,天然气价格对北欧国家电力的直接和间接传输路径。同时,论文基于理论建模给出了北欧可再生能源(风能和太阳能)和其他非天然气发电机组如何在天然气价格上涨或天然气供应短缺的预期下,通过价格操纵来行使市场力量,从而导致更高的电价。
论文认为从俄乌战争期间北欧电力价格变化中所得到的经验教训可以帮助监管机构为具有高比例风能和太阳能发电的能源市场监管做好准备和改进,特别是对发电方面的电力价格波动进行抑制。随着可再生能源渗透率朝着碳中和的目标增加,其间歇性输出和边际成本接近零给电力系统和市场价格带来了不确定性。提高电力交易市场的互联互通、扩展输电网、结合灵活发电和储能能力等选项都有助于稳定可再生能源整合的波动性。然而,这些选项无法减轻可再生能源通过价格竞标行使市场力量的可能性。因此,需要在电力市场中进行制度创新或监管干预。
本研究得到了国家自然科学基金项目的支持。
附:部分研究结果展示
天然气价格对北欧电价的影响:
影响在研究中被区分为直接影响和间接影响。直接影响:在芬兰FI区域和瑞典的SE2区域,天然气价格在战后对电价的影响变得更加显著。在挪威南部和瑞典的SE1区域,天然气价格在战前战后都显著影响电价。间接影响:丹麦的天然气价格虽然不显著,但德国电价对丹麦电价有显著影响,且战后影响增强。丹麦与德国之间电力传输量大,导致丹麦电价与天然气价格战后关联性增强。


图1战争爆发前后电价形成中的竞价区位置与影响方向
风光发电量对北欧电价的影响:
研究发现风电在北欧国家的电价形成中比太阳能发挥了更大的作用。与德国相比,芬兰、瑞典和挪威的风电和太阳能发电总量要低得多。战后,芬兰、瑞典和挪威的风电和太阳能发电总量分别为16.9%、20.2%和9.9%,而德国为34.9%。在瑞典、丹麦和芬兰的所有竞标区域以及挪威南部部分地区,风电与区域电价之间的相关性显著增强。


图2战争爆发前后电价形成的重要因素
风光发电行使市场力量的猜测依据:
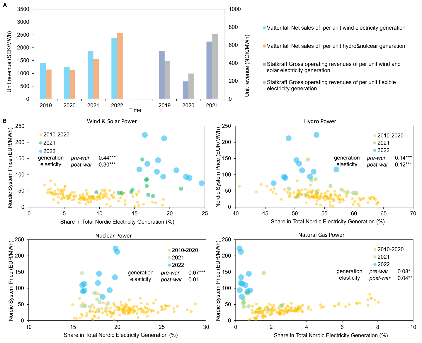
从2021年开始,风光电在北欧地区的发电量份额和系统价格都呈现出显著增长的趋势,并在2022年变得更为明显。水力发电的减少(2.9%)被风能和太阳能发电的增加(2.9%)所弥补。来自瑞典电力公司(Vattenfall)和挪威电力公司(Statkraft),两家主要北欧电力发电商的风光发电收入大幅增长。因此,这些发电商有可能通过行使市场力量来提高竞标价格以增加收入。

图3北欧主要发电商的单位收入以及风光发电的份额
风光发电行使市场力量的途径分析:
通过对风光电渗透率不同水平下的电力价格分布进行小时分辨率的分析,可以得出:在选择相同渗透率范围时,战后的平均电力价格高于战前,所有七个上述地区的平均电力价格在战争爆发后上升。这就是风能和太阳能发电厂商基于天然气价格上涨而提高电力价格的作用途径。

图4不同风光渗透水平下的电价分布
风光发电行使市场力量的理论分析:
研究建立了一个理论模型,研究区域电力市场中发电厂商的最佳报价。结果显示,可再生能源发电厂商的报价机制可以分为两类,一类是独立于火力发电厂商的报价,另一类是跟随火力发电厂商的报价。在跟随火力发电厂商的报价情况下,天然气价格上涨会提高火力发电厂商和可再生能源发电厂商的报价。理论模型得出的结果支持了预期的天然气价格上涨或天然气供应短缺可能作为令人信服的借口,并导致电力价格上涨。

表1理论模型结果
(转载自校网 通讯员 艾梦囡)